Η υπερπλήρωση σε φυλακές κράτησης ενηλίκων ανδρών καταγράφεται σε έρευνα -μελέτη που πραγματοποιήθηκε, για πρώτη φορά, από τη Γενική Γραμματεία Αντεγκληματικής Πολιτικής του Υπουργείου Δικαιοσύνης με στόχο τη δημιουργία ενός χάρτη – εγκλείστων που θα συμβάλει στην διαχείριση του πληθυσμού των κρατουμένων.
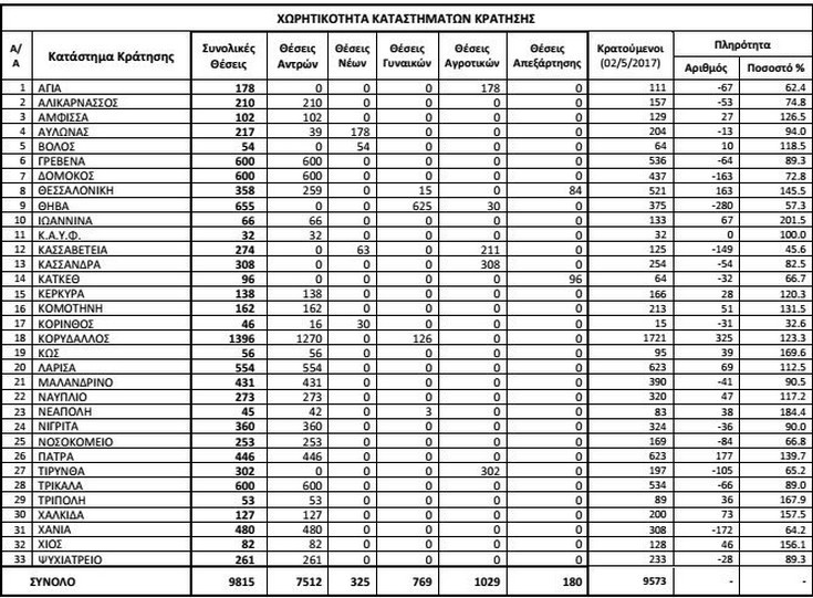
Βρέθηκαν 7.512 θέσεις για άντρες, 325 θέσεις για νέους και ανηλίκους, 769 θέσεις για γυναίκες, 1.029 θέσεις σε αγροτικές φυλακές, και 180 θέσεις για απεξάρτηση.
Αυτό που διαπιστώνει η έρευνα είναι ότι αν και οι θέσεις κράτησης σε φυλακές είναι συνολικά 9.815 (επί συνόλου κρατουμένων 9.573) οι φυλακές κράτησης ενηλίκων ανδρών ασφυκτιούν. Οι φυλακές των Ιωαννίνων είναι οι πλέον πολυπληθέστερες καθώς έχουν 66 συνολικές θέσεις κράτησης και φιλοξενούν 133 κρατούμενους , δηλαδή η πληρότητά τους καταγράφεται στο 201,5%. Το Κατάστημα Κράτησης με τις περισσότερες κενές θέσεις είναι αυτό της Θήβας με χωρητικότητα 655 θέσεις και 375 κρατούμενους να εκτίουν την ποινή τους , ποσοστό 57,3%.
Τα στοιχεία έρχονται να επιβεβαιώσουν ότι οι φυλακές Κορυδαλλού είναι ασφυκτικά γεμάτες καθώς οι συνολικές θέσεις του Καταστήματος Κράτησης είναι 1396 και οι κρατούμενοι 1721. Ανάλογη κατάσταση καταγράφεται και στη Θεσσαλονίκη με τους κρατούμενους που υπολογίζονται στους 521 να καλούνται να «χωρέσουν» σε 358 θέσεις. Τα Καταστήματα Κράτησης σε Πάτρα, Χαλκίδα, Νεάπολη, Κω και Κέρκυρα είναι μεταξύ αυτών που καταγράφεται υπερπλήρωση.
Η αποτύπωση της χωρητικότητας των ελληνικών φυλακών έγινε με βάση τις διεθνείς προδιαγραφές (4 τ.μ. ανά κρατούμενο) και τα υφιστάμενα κτιριακά δεδομένα, ώστε να δίδει την πραγματική εικόνα των χώρων κράτησης και η έρευνα ήρθε να απαντήσει στο κρίσιμο ερώτημα «Πόσοι κρατούμενοι χωράνε στις ελληνικές φυλακές;».
Όπως αναφέρει σε ανακοίνωση του το υπουργείο Δικαιοσύνης η αποφυγή του υπερπληθυσμού στις φυλακές αποτελεί σταθερή επιδίωξη του «τόσο για την προστασία των ανθρωπίνων δικαιωμάτων όσο και για τη διατήρηση όρων ασφαλείας και εύρυθμης λειτουργίας σε αυτές. Η διάθεση του ελάχιστου, ανά κρατούμενο, χώρου, σε συνδυασμό με τις υπόλοιπες συνθήκες κράτησης, την παροχή ψυχοκοινωνικής στήριξης, δημιουργικής απασχόλησης, εκπαίδευσης των κρατουμένων αλλά και την ενίσχυση της σωφρονιστικής διοίκησης και την επιμόρφωση των προσωπικού, επιβάλλονται από διεθνή και ευρωπαϊκά πρότυπα, με στόχο την ομαλή επανένταξη και την πρόληψη της υποτροπής. Αποτελεί, άλλωστε κοινή παραδοχή, ότι η ανθρώπινη και δίκαιη μεταχείριση των κρατουμένων συμβάλλει αποφασιστικά στην αντεγκληματική πολιτική.».
Τα επίμαχα στοιχεία θα υπάρχουν στον ιστότοπο του Υπουργείου και θα επικαιροποιούνται, τακτικά, ως προς τον αριθμό κρατουμένων αλλά και τις διαθέσιμες θέσεις κράτησης. Σε εγκύκλιο του Γεν. Γραμματέα Αντεγκληματικής Πολιτικής κ. Ευτ.Φυτράκη, ενημερώνονται όλοι οι αρμόδιοι φορείς όπως η Εισαγγελία του Αρείου Πάγου, η Κεντρική Επιτροπή Μεταγωγών, η Γενική Διεύθυνση Αντεγκληματικής και Σωφρονιστικής Πολιτικής και γίνεται, για πρώτη φορά, σαφής διαχωρισμός των επιμέρους κατηγοριών θέσεων κράτησης, καθώς αυτές διατίθενται αποκλειστικά στην εκάστοτε συγκεκριμένη κατηγορία κρατουμένων. Με τον τρόπο αυτό, θα είναι άμεσα δυνατό, στα πλαίσια των αρμοδιοτήτων τους (φυλακίσεις, μεταγωγές), να διακριβώνονται οι διαθέσιμες θέσεις και εν γένει η πληρότητα κάθε καταστήματος κράτησης, ανά κατηγορία κρατουμένων και να ακολουθείται η ορθή, στο μέτρο του δυνατού, κατανομή των κρατουμένων.
