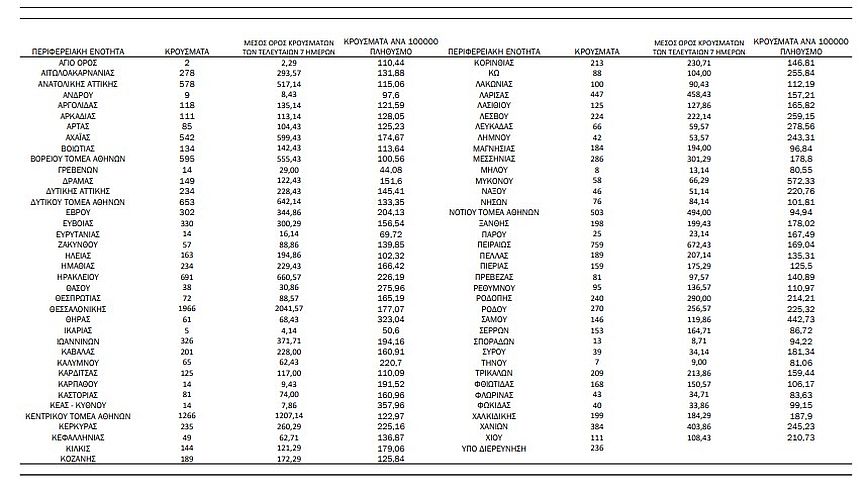
Ο ΕΟΔΥ ανακοίνωσε 16.442 νέα κρούσματα κορονοϊού. Στην Αττική το τελευταίο 24ωρο καταγράφηκαν 4.664 νέες μολύνσεις. Ακολουθεί η Θεσσαλονίκη με 1.966 νέα κρούσματα.
Δείτε το χάρτη της πανδημίας

Ο ΕΟΔΥ ανακοίνωσε 16.442 νέα κρούσματα κορονοϊού. Στην Αττική το τελευταίο 24ωρο καταγράφηκαν 4.664 νέες μολύνσεις. Ακολουθεί η Θεσσαλονίκη με 1.966 νέα κρούσματα.
Δείτε το χάρτη της πανδημίας
