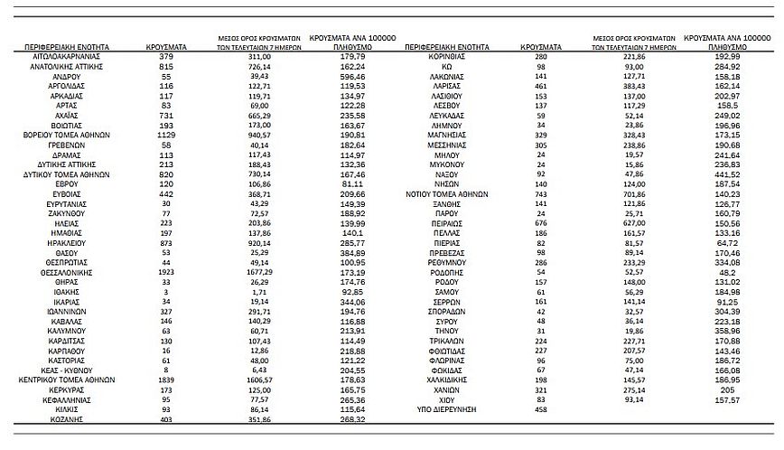
Ο ΕΟΔΥ ανακοίνωσε σήμερα (11/3) 19.002 νέα κρούσματα κορονοϊού. Η Αττική καταγράφει τετραψήφιο αριθμό μολύνσεων, με 6.375 κρούσματα, ενώ και η Θεσσαλονίκη ακολουθεί με 1.923.
Αναλυτικά, η γεωγραφική κατανομή των σημερινών κρουσμάτων:

Ο ΕΟΔΥ ανακοίνωσε σήμερα (11/3) 19.002 νέα κρούσματα κορονοϊού. Η Αττική καταγράφει τετραψήφιο αριθμό μολύνσεων, με 6.375 κρούσματα, ενώ και η Θεσσαλονίκη ακολουθεί με 1.923.
Αναλυτικά, η γεωγραφική κατανομή των σημερινών κρουσμάτων:
