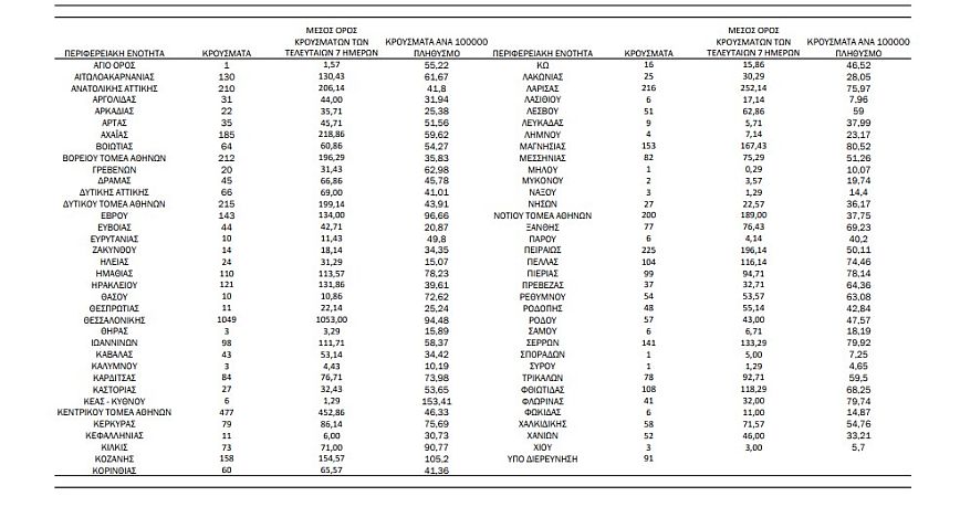
Πρωταθλήτρια παραμένει η Αττική καθώς από τα 5.991 νέα κρούσματα που ανακοίνωσε σήμερα ο ΕΟΔΥ οι 1.632 μολύνσεις εντοπίζονται στο Λεκανοπέδιο.
Την ίδια ώρα στο «κόκκινο» παραμένουν η Θεσσαλονίκη με 1.049 κρούσματα , η Λάρισα με 216, η Αχαΐα με 185 και η Κοζάνη με 158 κρούσματα.
Αναλυτικά ο «χάρτης» των κρουσμάτων στη χώρα μας
