Νέα «επίθεση» ενάντια στον κόσμο εξαπέλυσε ο πρόεδρος των ΗΠΑ, Ντόναλντ Τραμπ, επιβάλλοντας δασμούς 10% στα προϊόντα που εισάγουν οι ΗΠΑ από τις περισσότερες χώρες, ενώ ακόμα υψηλότερα είναι τα ποσοστά για τους «χειρότερους παραβάτες».
Με ποιον, όμως, τρόπο διαμορφώθηκαν αυτοί οι δασμοί και κατά πόσο μπορεί να πετύχει το σχέδιο του αμερικανού προέδρου;
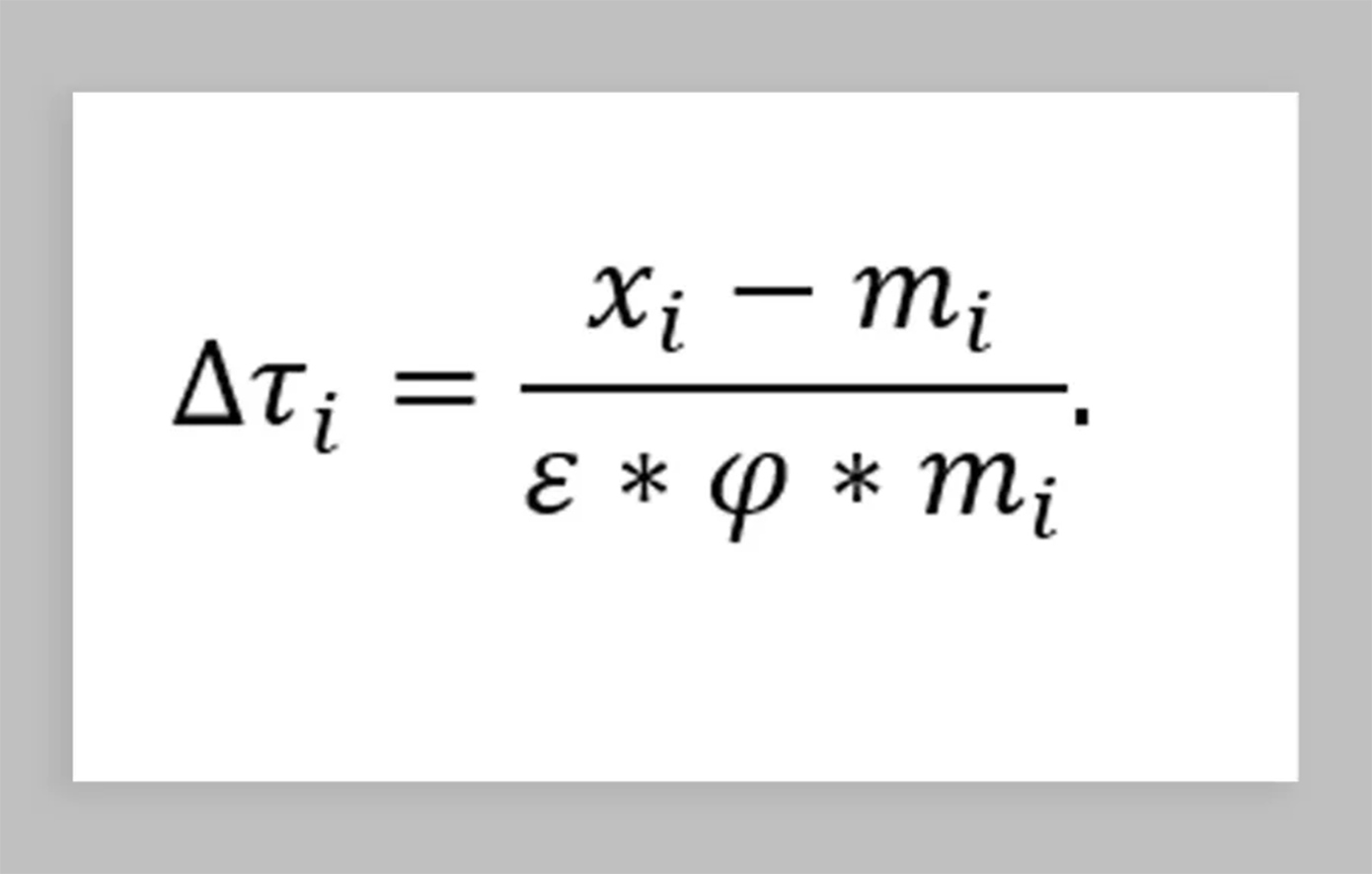
Ο Λευκός Οίκος δημοσίευσε τον «περίπλοκο» μαθηματικό τύπο που χρησιμοποίησε, για να υπολογίσει τους δασμούς, όπου κεντρικό ρόλο παίζει το εμπορικό έλλειμμα. Τα πράγματα, όμως, είναι πιο απλά από ό,τι φαίνονται.

Το BBC αναφέρει ότι το εμπορικό έλλειμμα εμφανίζεται, όταν μια χώρα αγοράζει (εισάγει) περισσότερα φυσικά προϊόντα από άλλες χώρες από όσα πουλάει (εξάγει) σε αυτές.
Ουσιαστικά είναι απλά μαθηματικά: παίρνουμε το εμπορικό έλλειμμα των ΗΠΑ με μια συγκεκριμένη χώρα, το διαιρούμε με το σύνολο των εισαγόμενων αγαθών από τη χώρα αυτή και στη συνέχεια διαιρούμε τον αριθμό αυτό με το δύο.
Για παράδειγμα, οι ΗΠΑ αγοράζουν περισσότερα αγαθά από την Κίνα απ’ όσα τους πωλούν, επομένως υπάρχει εμπορικό έλλειμμα που υπολογίζεται στα 295 δισ. δολάρια. Επιπρόσθετα το συνολικό ποσό των αγαθών που αγοράζουν οι ΗΠΑ από την Κίνα φτάνει τα 440 δισ. δολάρια.
Επομένως, διαιρώντας το 295 με το 440 προκύπτει το 67%, το οποίο αν το διαιρέσουμε με το δύο και το στρογγυλοποιήσουμε προς τα πάνω, προκύπτει ο αριθμός 34. Επομένως, ο αμοιβαίος δασμός που επέβαλαν οι ΗΠΑ στην Κίνα είναι 34%.
Πολλοί οικονομολόγοι, όμως, εκφράζουν αμφιβολίες για την πραγματική φύση των δασμών του Τραμπ.
Το BBC εξηγεί πως αμοιβαίοι σημαίνει ότι βασίζονται σε αυτά που οι χώρες χρεώνουν ήδη στις ΗΠΑ, με τη μορφή υφιστάμενων δασμών, συν τα μη δασμολογικά εμπόδια (πράγματα όπως οι κανονισμοί που ανεβάζουν το κόστος).

Αλλά το επίσημο έγγραφο του Λευκού Οίκου στο οποίο αναφέρεται η μεθοδολογία που χρησιμοποιείται καθιστά σαφές ότι η κυβέρνηση Τραμπ δεν έχει κάνει αυτούς τους υπολογισμούς για όλες τις χώρες στις οποίες έχουν επιβληθεί δασμοί.
Αντιθέτως, ο δασμολογικός συντελεστής υπολογίστηκε με σκοπό να εξαλειφθεί το έλλειμμα του εμπορικού ισοζυγίου των ΗΠΑ με κάθε χώρα, ενώ σε πολλές περιπτώσεις ο Τραμπ ξεφεύγει από τη φόρμουλα επιβάλλοντας δασμούς σε χώρες που αγοράζουν περισσότερα αγαθά από τις ΗΠΑ από όσα πωλούν σε αυτές.
Για παράδειγμα, οι ΗΠΑ δεν έχουν επί του παρόντος ελλειμματικό εμπορικό ισοζύγιο με το Ηνωμένο Βασίλειο. Ωστόσο, το Ηνωμένο Βασίλειο έχει πληγεί με δασμό 10%.
Σε κάθε περίπτωση, ανεξάρτητα από το αν ο Τραμπ ακολουθεί πιστά την ίδια του τη μεθοδολογία, αυτό το νέο δασμολογικό καθεστώς μπορεί να επιφέρει το επιθυμητό αποτέλεσμα;
«Ναι, θα μειώσει τα διμερή εμπορικά ελλείμματα μεταξύ των ΗΠΑ και των χωρών αυτών. Αλλά προφανώς θα υπάρξουν πολλές ευρύτερες επιπτώσεις που δεν έχουν καταγραφεί στον υπολογισμό», λέει ο καθηγητής Jonathan Portes του King’s College του Λονδίνου στο BBC.
Αυτό οφείλεται στο γεγονός ότι το υφιστάμενο συνολικό έλλειμμα των ΗΠΑ δεν προκύπτει αποκλειστικά στους εμπορικούς φραγμούς, αλλά και από τον ίδιο τον τρόπο με τον οποίο λειτουργεί η αμερικανική οικονομία.
Οι Αμερικανοί ξοδεύουν και επενδύουν περισσότερο από ό,τι κερδίζουν και αυτό το χάσμα σημαίνει ότι οι ΗΠΑ αγοράζουν περισσότερα από ό,τι πωλούν από τον κόσμο. Όσο λοιπόν αυτό συνεχίζεται, οι ΗΠΑ είναι πιθανό πως θα συνεχίσουν να έχουν έλλειμμα παρά την αύξηση των δασμών.
«Η φόρμουλα είναι αντίστροφα κατασκευασμένη για να εξορθολογίσει την επιβολή δασμών σε χώρες με τις οποίες οι ΗΠΑ έχουν εμπορικό έλλειμμα. Δεν υπάρχει καμία οικονομική λογική για να γίνει αυτό και θα κοστίσει ακριβά στην παγκόσμια οικονομία», δήλωσε ο Thomas Sampson του London School of Economics.