Τα μεγαλύτερα βάρη «φορτώνονται» περιοχές του κέντρου της Αθήνας, στη παραλιακή ζώνη της Αττικής, στα Νότια και Βόρεια προάστια καθώς και στις τουριστικές και παραθαλάσσιες περιοχές της ηπειρωτικής Ελλάδας και τα νησιά. Το βέβαιο είναι ότι στις παραπάνω περιοχές από την 1η Ιανουαρίου του επόμενου έτους οι φόροι μεταβίβασης (αγοραπωλησίες, γονικές παροχές, δωρεές, κληρονομιές κα) καθώς και δεκάδες άλλοι φόροι και τέλη θα πάρουν φωτιά λόγω της ανόδου των αντικειμενικών αξιών όπως ο ΤΑΠ, τα δημοτικά τέλη, τα πρόσθετα τέλη μεταγραφής συμβολαίων, εγγραφής ακινήτων στο Κτηματολόγιο , τα πολεοδομικά πρόστιμα διατήρησης αυθαιρέτων κτισμάτων, οι αμοιβές των συμβολαιογράφων κ.α
Παράλληλα θα υπάρξουν αυξήσεις και στο λογαριασμό του ΕΝΦΙΑ για το 2022 χωρίς όμως ακόμα να μπορούν να προσδιοριστούν ποιοι και πόσο θα επιβαρυνθούν καθώς το υπουργείο Οικονομικών υπόσχεται παρεμβάσεις στα κλιμάκια και τους συντελεστές του φόρου με στόχο να μην προκύψουν αυξήσεις στη φορολογία «για τη μεσαία τάξη και για τη μεγάλη πλειοψηφία των ιδιοκτητών ακινήτων»
Κλειδί για το χρόνο και το εύρος των παρεμβάσεων αποτελεί το ύψος των πρόσθετων εσόδων που θα προκύψουν κυρίως από την ένταξη 3.478 περιοχών στο σύστημα αντικειμενικού προσδιορισμού που σύμφωνα με τους πρώτους υπολογισμούς θα κυμαίνονται στα 400 εκ. ευρώ. Ωστόσο το ακριβές όφελος για τα κρατικά ταμεία θα προσδιορισθεί από την άσκηση που θα τρέξει η ΑΑΔΕ για την φορολογητέα υλη των ακινήτων με βάση τις νέες τιμές και η οποία αναμένεται να ολοκληρωθεί το προσεχή Νοέμβριο.
Πέραν των αλλαγών στο κύριο φόρο στο τραπέζι του υπουργείου Οικονομικών βρίσκονται και παρεμβάσεις για τη μείωση του συμπληρωματικού ΕΝΦΙΑ και τη σταδιακή κατάργηση του σε συνάρτηση πάντα με τα δημοσιονομικά περιθώρια. Σημειώνεται ότι ο συμπληρωματικός ΕΝΦΙΑ επιβάλλεται σε ακίνητα αντικειμενικής αξίας άνω των 250.000 ευρώ και με κλιμακωτούς συντελεστές οι οποίοι ξεκινούν από 0,15% για ακίνητα μέχρι 300.000 ευρώ φθάνουν το 1,10% για όσους έχουν ακίνητη περιουσία από 1 έως 2 εκατομμύρια ευρώ και αυξάνονται σε 1,15% για το υπερβάλλον ποσό.
Η άνοδος των αντικειμενικών τιμών από την 1-1-2022 αναμένεται να οδηγήσει σε έκρηξη των μεταβιβάσεων (αγοραπωλησίες, γονικές παροχές, δωρεές, κληρονομιές) το επόμενο διάστημα καθώς εκτιμάται ότι χιλιάδες θα είναι οι φορολογούμενοι που θα σπεύσουν να προλάβουν την άνοδο στις τιμές ζώνης.
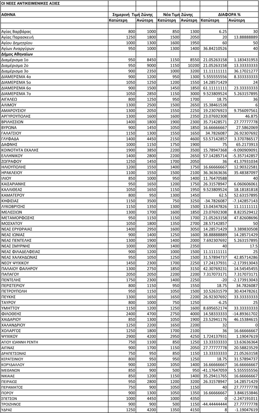
Ο χάρτης της κτηματαγοράς με βάση την νέα ευθυγράμμιση των αντικειμενικών με τις εμπορικές τιμές διαμορφώνεται ως εξής:
- Για 7.634 περιοχές που αποτελούν το 55% του συνόλου προκύπτουν αυξήσεις που κατά μέσο όρο διαμορφώνονται στο 19,5%. Η μεγαλύτερη αύξηση παρατηρείται στην περιοχή της Ιθάκης που φθάνει το 250% με 2.100 ευρώ/ τ.μ. και ακολουθεί η Μύκονος με 225% και τιμή ζώνης 3.900 ευρώ, η Ρόδος με 200% και τιμή ζώνης 2.100 ευρώ/ τ.μ., η Κως από 650 σε 1.350 ευρώ (αύξηση 108%), η Κασσάνδρα Χαλκιδικής, από 800 σε 1.550 ευρώ (αύξηση 94%), η Κεφαλονιά, από 700 σε 1.250 ευρώ (αύξηση 79%), η Χερσόνησος Ηρακλείου, από 600 σε 1.050 ευρώ (αύξηση 75%), η Ανάβυσσος, από 1.050 σε 1.700 (αύξηση 62%), η Σκαφιδιά Ηλείας, από 650 σε 950 ευρώ (αύξηση 46%) και η Πάτμος, από 650 σε 900 ευρώ (αύξηση 38%).
- Για τις υφιστάμενες 10.165 ζώνες του αντικειμενικού συστήματος οι 6.105 ζώνες σημειώνουν αύξηση κατά μέσο όρο 18%. Αυξήσεις, εντοπίζονται σε ζώνες περιοχών όπως η Σαντορίνη, από 1.100 σε 2.250 ευρώ (αύξηση 105%), το κέντρο Αθήνας, από 1.850 σε 3.600 ευρώ (αύξηση 95%), το Ναύπλιο, από 1.300 σε 2.200 ευρώ (αύξηση 69%), το Παλαιό Φάληρο, από 1.650 σε 2.750 ευρώ (αύξηση 67%), η Βουλιαγμένη, από 2.400 σε 3.850 ευρώ (αύξηση 60%), η Γλυφάδα, από 1.650 σε 2.550 ευρώ (αύξηση 55%) και το Ελληνικό, από 1.700 σε 2.200 ευρώ (αύξηση 29%).
- Για 2.860 περιοχές ή το 21% του συνόλου επέρχονται μειώσεις κατά 14,7% σε μέσα επίπεδα. Η μεγαλύτερη μείωση εντοπίζεται στα Φάρσαλα με 250 ευρώ ανά τ.μ. τιμή ζώνης και ακολουθεί η Νάξος με 37,5% και 500 ευρώ ανά τ.μ. τιμή ζώνης. Είναι αξιοσημείωτο ότι μειώσεις τιμών έως 35% καταγράφονται σε Κηφισιά, Φιλοθέη, Εκάλη, Άνοιξη Βούλα, Νέο Ψυχικό και Πεντέλη.
- Σε 3.314 περιοχές ή το 24% του συνόλου οι αξίες παρέμειναν αμετάβλητες.
Αντικειμενικές αξίες: Οι τιμές στην Αθήνα

Οι τιμές στη Θεσσαλονίκη
