Εκατοντάδες φορολογούμενοι – 990 για την ακρίβεια – με εξοχικά στη Μύκονο και στη Σαντορίνη χρωστάνε εκατομμύρια στην εφορία.

Το παραπάνω συμπέρασμα προέκυψε μετά από στοχευμένη διασταύρωση του περιουσιολογίου από τη Γενική Γραμματεία Πληροφοριακών Συστημάτων του υπουργείου Οικονομικών.

Οι φορολογούμενοι αυτοί καλούνται τώρα από τις Εφορίες να εξοφλήσουν τα χρέη τους μέσα σε 11 ημέρες, ειδάλλως θα γίνουν πλειστηριασμοί στα ακίνητά τους.

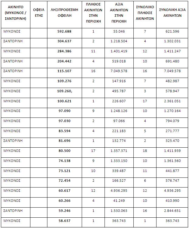
Συνολικά εντοπίστηκαν 990 υπόχρεοι με ληξιπρόθεσμες οφειλές 6.747.556 ευρώ. Οι υπόχρεοι αυτοί κατέχουν στη Μύκονο και τη Σαντορίνη 2.917 ακίνητα αντικειμενικής αξίας 288.389.719 ευρώ, ενώ έχουν συνολικά στην κατοχή τους 6.121 ακίνητα αντικειμενικής αξίας 567.892.905 ευρώ.

Ακολουθεί πίνακας με τους 20 σημαντικότερους οφειλέτες: