Ποιος αριθμός λείπει από το τετράγωνο;

Η λύση:
Λείπει ο αριθμός 9. Αν πολλαπλασιάσουμε τον αριθμό που βρίσκεται στο κάτω τετράγωνο με τον αριθμό 13, τότε το γινόμενο είναι το ίδιο με το άθροισμα των δύο αριθμών που βρίσκονται στα πάνω τετράγωνα.
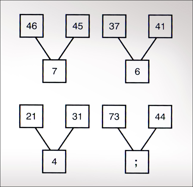
Ποιος αριθμός λείπει από το τετράγωνο;

Η λύση:
Λείπει ο αριθμός 9. Αν πολλαπλασιάσουμε τον αριθμό που βρίσκεται στο κάτω τετράγωνο με τον αριθμό 13, τότε το γινόμενο είναι το ίδιο με το άθροισμα των δύο αριθμών που βρίσκονται στα πάνω τετράγωνα.